Product
GLP-1, GLP-1/GIP series
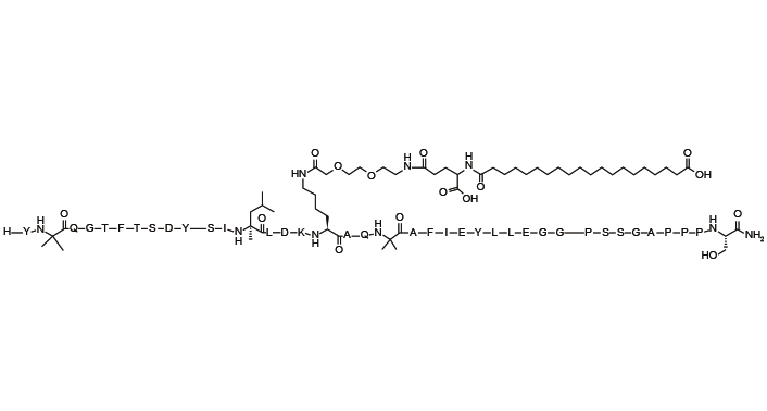
GLP-1 and GLP-1/GIP series are long-acting formulations and have good therapeutic effects on type 2 diabetes. Semaglutide DMF#040471














